第二部分 第十章 关于化学领域发明专利申请审查的若干规定
1.引 言
化学领域发明专利申请的审查存在着许多特殊的问题。例如,在多数情况下,化学发明能否实施往往难以预测,必须借助于试验结果加以证实才能得到确认;有的化学产品的结构尚不清楚,不得不借助于性能参数和/或制备方法来定义;发现已知化学产品新的性能或用途并不意味着其结构或组成的改变,因此不能视为新的产品;某些涉及生物材料的发明仅仅按照说明书的文字描述很难实现,必须借助于保藏生物材料作为补充手段。本章旨在按照专利法和专利法实施细则的原则,并在符合本指南一般性规定的前提下,对于如何处理化学发明审查中的某些特殊问题作出若干规定。
2.不授予专利权的化学发明专利申请
2.1天然物质
人们从自然界找到以天然形态存在的物质,仅仅是一种发现,属于专利法第二十五条第一款第(一) 项规定的“科学发现”,不能被授予专利权。但是,如果是首次从自然界分离或提取出来的物质,其结构、形态或者其他物理化学参数是现有技术中不曾认识的,并能被确切地表征,且在产业上有利用价值,则该物质本身以及取得该物质的方法均可依法被授予专利权。
2.2物质的医药用途
物质的医药用途如果是用于诊断或治疗疾病,则因属于专利法第二十五条第一款第(三) 项规定的情形,不能被授予专利权。但是如果它们用于制造药品,则可依法被授予专利权(参见本章第4.5.2节)。
3.化学发明的充分公开
3.1化学产品发明的充分公开
这里所称的化学产品包括化合物、组合物以及用结构和/或组成不能够清楚描述的化学产品。要求保护的发明为化学产品本身的,说明书中应当记载化学产品的确认、化学产品的制备以及化学产品的用途。
(1)化学产品的确认
对于化合物发明,说明书中应当说明该化合物的化学名称及结构式(包括各种官能基团、分子立体构型等) 或者分子式,对化学结构的说明应当明确到使本领域的技术人员能确认该化合物的程度;并应当记载与发明要解决的技术问题相关的化学、物理性能参数(例如各种定性或者定量数据和谱图等),使要求保护的化合物能被清楚地确认。此外,对于高分子化合物,除了应当对其重复单元的名称、结构式或者分子式按照对上述化合物的相同要求进行记载之外,还应当对其分子量及分子量分布、重复单元排列状态(如均聚、共聚、嵌段、接枝等) 等要素作适当的说明;如果这些结构要素未能完全确认该高分子化合物,则还应当记载其结晶度、密度、二次转变点等性能参数。
对于组合物发明,说明书中除了应当记载组合物的组分外,还应当记载各组分的化学和/或物理状态、各组分可选择的范围、各组分的含量范围及其对组合物性能的影响等。
对于仅用结构和/或组成不能够清楚描述的化学产品,说明书中应当进一步使用适当的化学、物理参数和/或制备方法对其进行说明,使要求保护的化学产品能被清楚地确认。
(2)化学产品的制备
对于化学产品发明,说明书中应当记载至少一种制备方
法,说明实施所述方法所用的原料物质、工艺步骤和条件、专用设备等,使本领域的技术人员能够实施。对于化合物发明,通常需要有制备实施例。
(3)化学产品的用途和/或使用效果
对于化学产品发明,应当完整地公开该产品的用途和/或使用效果,即使是结构首创的化合物,也应当至少记载一种用途。
如果所属技术领域的技术人员无法根据现有技术预测发明能够实现所述用途和/或使用效果,则说明书中还应当记载对于本领域技术人员来说,足以证明发明的技术方案可以实现所述用途和/或达到预期效果的定性或者定量实验数据。
对于新的药物化合物或者药物组合物,应当记载其具体医药用途或者药理作用,同时还应当记载其有效量及使用方法。如果本领域技术人员无法根据现有技术预测发明能够实现所述医药用途、药理作用,则应当记载对于本领域技术人员来说,足以证明发明的技术方案可以解决预期要解决的技术问题或者达到预期的技术效果的实验室试验(包括动物试验) 或者临床试验的定性或者定量数据。说明书对有效量和使用方法或者制剂方法等应当记载至所属技术领域的技术人员能够实施的程度。
对于表示发明效果的性能数据,如果现有技术中存在导致不同结果的多种测定方法,则应当说明测定它的方法,若为特殊方法,应当详细加以说明,使所属技术领域的技术人员能实施该方法。
3.2化学方法发明的充分公开
(1)对于化学方法发明,无论是物质的制备方法还是其他方法,均应当记载方法所用的原料物质、工艺步骤和工艺条件,必要时还应当记载方法对目的物质性能的影响,使所属技术领域的技术人员按照说明书中记载的方法去实施时能够解决该发明要解决的技术问题。
(2)对于方法所用的原料物质,应当说明其成分、性能、制备方法或者来源,使得本领域技术人员能够得到。
3.3化学产品用途发明的充分公开
对于化学产品用途发明,在说明书中应当记载所使用的化学产品、使用方法及所取得的效果,使得本领域技术人员能够实施该用途发明。如果所使用的产品是新的化学产品,则说明书对于该产品的记载应当满足本章第3.1节的相关要求。如果本领域的技术人员无法根据现有技术预测该用途,则应当记载对于本领域的技术人员来说,足以证明该物质可以用于所述用途并能解决所要解决的技术问题或者达到所述效果的实验数据。
3.4关于实施例
由于化学领域属于实验性学科,多数发明需要经过实验证明,因此说明书中通常应当包括实施例,例如产品的制备和应用实施例。
(1)说明书中实施例的数目,取决于权利要求的技术特征的概括程度,例如并列选择要素的概括程度和数据的取值范围;在化学发明中,根据发明的性质不同, 具体技术领域不同,对实施例数目的要求也不完全相同。一般的原则是,应当能足以理解发明如何实施,并足以判断在权利要求所限定的范
围内都可以实施并取得所述的效果。
3.5 关于补交的实验数据
3.5.1 审查原则
判断说明书是否充分公开,以原说明书和权利要求书记载的内容为准。
对于申请日之后申请人为满足专利法第二十二条第三款、第二十六条第三款等要求补交的实验数据,审查员应当予以审查。补交实验数据所证明的技术效果应当是所属技术领域的技术人员能够从专利申请公开的内容中得到的。
3.5.2 药品专利申请的补交实验数据
按照本章第3.5.1节的审查原则,给出涉及药品专利申请的审查示例。
【例1】
权利要求请求保护化合物A,说明书记载了化合物A的制备实施例、降血压作用及测定降血压活性的实验方法,但未记载实验结果数据。为证明说明书充分公开,申请人补交了化合物A的降血压效果数据。对于所属技术领域的技术人员来说,根据原始申请文件的记载,化合物A的降血压作用已经公开,补交实验数据所要证明的技术效果能够从专利申请文件公开的内容中得到。应该注意的是,该补交实验数据在审查创造性时也应当予以审查。
【例2】
权利要求请求保护通式I化合物,说明书记载了通式I及其制备方法,通式I中多个具体化合物A、B等的制备实施例,也记载了通式I的抗肿瘤作用、测定抗肿瘤活性的实验方法和实验结果数据,实验结果数据记载为实施例化合物对肿瘤细胞IC50值在10-100nM范围内。为证明权利要求具备创造性,申请人补交了对比实验数据,显示化合物A的IC50值为15nM,而对比文件1化合物为87nM。对于所属技术领域的技术人员来说,根据原始申请文件的记载,化合物A及其抗肿瘤作用已经公开,补交实验数据所要证明的技术效果能够从专利申请文件公开的内容中得到。应该注意的是,此时,审查员还需要结合补交实验数据进一步分析权利要求请求保护的技术方案是否满足创造性的要求。
4.化学发明的权利要求
4.1化合物权利要求
化合物权利要求应当用化合物的名称或者化合物的结构式或分子式来表征。化合物应当按通用的命名法来命名,不允许用商品名或者代号;化合物的结构应当是明确的,不能用含糊不清的措词。
4.2组合物权利要求
4.2.1开放式、封闭式及它们的使用要求
根据专利法实施细则第二十一条第二款的规定,发明的性质不适合将独立权利要求分为前序和特征两部分撰写的,独立权利要求可以用其他方式撰写。组合物权利要求一般属于这种情况。
组合物权利要求应当用组合物的组分或者组分和含量等组成特征来表征。组合物权利要求分开放式和封闭式两种表达方式。开放式表示组合物中并不排除权利要求中未指出的组分;封闭式则表示组合物中仅包括所指出的组分而排除所有其他的组分。开放式和封闭式常用的措词如下:
(1)开放式,例如“含有”、“包括”、“包含”、“基本含有”、“本质上含有”、“主要由…… 组成”、“主要组成为”、“基本上由……组成”、“基本组成为” 等,这些都表示该组合物中还可以含有权利要求中所未指出的某些组分,即使其在含量上占较大的比例。
(2)封闭式,例如“由……组成”、“组成为”、“余量为”等,这些都表示要求保护的组合物由所指出的组分组成,没有别的组分, 但可以带有杂质, 该杂质只允许以通常的含量存在。
使用开放式或者封闭式表达方式时,必须要得到说明书的支持。例如,权利要求的组合物A+B+C,如果说明书中实际上没有描述除此之外的组分,则不能使用开放式权利要求。
另外还应当指出的是,一项组合物独立权利要求为A+B+C,假如其下面一项权利要求为A+B+C+D,则对于开放式的A+B+C权利要求而言,含D的这项为从属权利要求;对于封闭式的A+B+C权利要求而言,含D的这项为独立权利要求。
4.2.2组合物权利要求中组分和含量的限定
(1)如果发明的实质或者改进只在于组分本身,其技术问题的解决仅取决于组分的选择,而组分的含量是本领域的技术人员根据现有技术或者通过简单实验就能够确定的,则在独立权利要求中可以允许只限定组分;但如果发明的实质或者改进既在组分上,又与含量有关,其技术问题的解决不仅取决于组分的选择,而且还取决于该组分特定含量的确定,则在独立权利要求中必须同时限定组分和含量,否则该权利要求就不完整,缺少必要技术特征。
(2)在某些领域中,例如在合金领域中,合金的必要成分及其含量通常应当在独立权利要求中限定。
(3)在限定组分的含量时,不允许有含糊不清的用词,例如“大约”、“左右”、“近” 等等,如果出现这样的词,一般应当删去。组分含量可以用“0~X”、“<X” 或者“X以下”等表示,以“0~X” 表示的,为选择组分,“<X”、“X以下”等的含义为包括X=0。通常不允许以“>X” 表示含量范围。
(4)一个组合物中各组分含量百分数之和应当等于100%,几个组分的含量范围应当符合以下条件:
某一组分的上限值+其他组分的下限值≤100
某一组分的下限值+其他组分的上限值≥100
(5)用文字或数值难以表示组合物各组分之间的特定关系的,可以允许用特性关系或者用量关系式,或者用图来定义权利要求。图的具体意义应当在说明书中加以说明。
(6)用文字定性表述来代替数字定量表示的方式,只要其意思是清楚的,且在所属技术领域是众所周知的,就可以接受,例如“含量为足以使某物料湿润”、“催化量的” 等等。
4.2.3组合物权利要求的其他限定
组合物权利要求一般有三种类型,即非限定型、性能限定型以及用途限定型。例如:
(1) “一种水凝胶组合物,含有分子式(Ⅰ) 的聚乙烯醇、皂化剂和水” (分子式(Ⅰ) 略);
(2) “一种磁性合金,含有10% ~60% (重量) 的A和90% ~40% (重量) 的B”;
(3) “一种丁烯脱氢催化剂,含有Fe3O4 和K2O……”。
以上(1) 为非限定型, (2) 为性能限定型, (3) 为用途限定型。
当该组合物具有两种或者多种使用性能和应用领域时,可以允许用非限定型权利要求。例如,上述(1) 的水凝胶组合物,在说明书中叙述了它具有可成型性、吸湿性、成膜性、粘结性以及热容量大等性能,因而可用于食品添加剂、上胶剂、粘合剂、涂料、微生物培养介质以及绝热介质等多种领域。
如果在说明书中仅公开了组合物的一种性能或者用途,则通常需要写成性能限定型或者用途限定型,例如(2)、(3)。在某些领域中,例如合金,通常应当写明发明合金所固有的性质和/或用途。大多数药品权利要求应当写成用途限定型。
4.3仅用结构和/或组成特征不能清楚表征的化学产品权利要求
对于仅用结构和/或组成特征不能清楚表征的化学产品权利要求, 允许进一步采用物理-化学参数和/或制备方法来表征。
(1)允许用物理-化学参数来表征化学产品权利要求的情况是:仅用化学名称或者结构式或者组成不能清楚表征的结构不明的化学产品。参数必须是清楚的。
(2)允许用制备方法来表征化学产品权利要求的情况是:用制备方法之外的其他特征不能充分表征的化学产品。
4.4化学方法权利要求
化学领域中的方法发明,无论是制备物质的方法还是其他方法(如物质的使用方法、加工方法、处理方法等),其权利要求可以用涉及工艺、物质以及设备的方法特征来进行限定。
涉及工艺的方法特征包括工艺步骤(也可以是反应步骤)和工艺条件,例如温度、压力、时间、各工艺步骤中所需的催化剂或者其他助剂等;
涉及物质的方法特征包括该方法中所采用的原料和产品的化学成分、化学结构式、理化特性参数等;
涉及设备的方法特征包括该方法所专用的设备类型及其与方法发明相关的特性或者功能等。
对于一项具体的方法权利要求来说,根据方法发明要求保护的主题不同、所解决的技术问题不同以及发明的实质或者改进不同,选用上述三种技术特征的重点可以各不相同。
4.5用途权利要求
4.5.1用途权利要求的类型
化学产品的用途发明是基于发现产品新的性能,并利用此性能而作出的发明。无论是新产品还是已知产品,其性能是产品本身所固有的,用途发明的本质不在于产品本身,而在于产品性能的应用。因此,用途发明是一种方法发明,其权利要求属于方法类型。
如果利用一种产品A而发明了一种产品B,那么自然应当以产品B本身申请专利,其权利要求属于产品类型,不作为用途权利要求。
审查员应当注意从权利要求的撰写措词上区分用途权利要求和产品权利要求。例如, “用化合物X作为杀虫剂” 或者“化合物X作为杀虫剂的应用” 是用途权利要求,属于方法类型,而“用化合物X制成的杀虫剂” 或者“含化合物X的杀虫剂”,则不是用途权利要求,而是产品权利要求。
还应当明确的是,不应当把“化合物X作为杀虫剂的应用” 理解为与“作杀虫剂用的化合物X” 相等同。后者是限定用途的产品权利要求,不是用途权利要求。
4.5.2物质的医药用途权利要求
物质的医药用途如果以“用于治病”、“用于诊断病”、“作为药物的应用” 等等这样的权利要求申请专利,则属于专利法第二十五条第一款第(三) 项“疾病的诊断和治疗方法”,因此不能被授予专利权;但是由于药品及其制备方法均可依法授予专利权,因此物质的医药用途发明以药品权利要求或者例如“在制药中的应用”、“在制备治疗某病的药物中的应用” 等等属于制药方法类型的用途权利要求申请专利,则不属于专利法第二十五条第一款第(三) 项规定的情形。
上述的属于制药方法类型的用途权利要求可撰写成例如“化合物X作为制备治疗Y病药物的应用” 或与此类似的形式。
5.化学发明的新颖性
5.1化合物的新颖性
(1)专利申请要求保护一种化合物的,如果在一份对比文件中记载了化合物的化学名称、分子式(或结构式)等结构信息,使所属技术领域的技术人员认为要求保护的化合物已经被公开,则该化合物不具备新颖性,但申请人能提供证据证明在申请日之前无法获得该化合物的除外。
如果依据一份对比文件中记载的结构信息不足以认定要求保护的化合物与对比文件公开的化合物之间的结构异同,但在结合该对比文件记载的其他信息,包括物理化学参数、制备方法和效果实验数据等进行综合考量后,所属技术领域的技术人员有理由推定二者实质相同,则要求保护的化合物不具备新颖性,除非申请人能提供证据证明结构确有差异。
(2)通式不能破坏该通式中一个具体化合物的新颖性。一个具体化合物的公开使包括该具体化合物的通式权利要求丧失新颖性,但不影响该通式所包括的除该具体化合物以外的其他化合物的新颖性。一系列具体的化合物能破坏这系列中相应的化合物的新颖性。一个范围的化合物(例如C1-4) 能破坏该范围内两端具体化合物(C1 和C4) 的新颖性,但若C4 化合物有几种异构体, 则C1-4化合物不能破坏每个单独异构体的新颖性。
(3)天然物质的存在本身并不能破坏该发明物质的新颖性,只有对比文件中公开的与发明物质的结构和形态一致或者直接等同的天然物质,才能破坏该发明物质的新颖性。
5.2组合物的新颖性
(1)仅涉及组分时的新颖性判断
一份对比文件公开了由组分(A+B+C) 组成的组合物甲,如果
(i)发明专利申请为组合物乙(组分:A+B),并且权利要求采用封闭式撰写形式,如“由A+B组成”,即使该发明与组合物甲所解决的技术问题相同,该权利要求仍有新颖性。
(ii)上述发明组合物乙的权利要求采用开放式撰写形式,如“含有A+B”,且该发明与组合物甲所解决的技术问题相同,则该权利要求无新颖性。
(iii)上述发明组合物乙的权利要求采取排除法撰写形式,即指明不含C,则该权利要求仍有新颖性。
(2)涉及组分含量时的新颖性判断
涉及组分含量时的新颖性判断适用本部分第三章第3.2.4节的规定。
5.3用物理化学参数或者用制备方法表征的化学产品的新颖性
(1)对于用物理化学参数表征的化学产品权利要求,如果无法依据所记载的参数对由该参数表征的产品与对比文件公开的产品进行比较,从而不能确定采用该参数表征的产品与对比文件产品的区别,则推定用该参数表征的产品权利要求不具备专利法第二十二条第二款所述的新颖性。
(2)对于用制备方法表征的化学产品权利要求,其新颖性审查应针对该产品本身进行,而不是仅仅比较其中的制备方法是否与对比文件公开的方法相同。制备方法不同并不一定导致产品本身不同。
如果申请没有公开可与对比文件公开的产品进行比较的参数以证明该产品的不同之处,而仅仅是制备方法不同,也没有表明由于制备方法上的区别为产品带来任何功能、性质上的改变,则推定该方法表征的产品权利要求不具备专利法第二十二条第二款所述的新颖性。
5.4化学产品用途发明的新颖性
一种新产品的用途发明由于该产品是新的而自然具有新颖性。
一种已知产品不能因为提出了某一新的应用而被认为是一种新的产品。例如,产品X作为洗涤剂是已知的,那么一种用作增塑剂的产品X不具有新颖性。但是,如果一项已知产品的新用途本身是一项发明,则已知产品不能破坏该新用途的新颖性。这样的用途发明属于使用方法发明,因为发明的实质不在于产品本身,而在于如何去使用它。例如,上述原先作为洗涤剂的产品X,后来有人研究发现将它配以某种添加剂后能作为增塑剂用。那么如何配制、选择什么添加剂、配比多少等就是使用方法的技术特征。这时,审查员应当评价该使用方法本身是否具备新颖性,而不能凭产品X是已知的认定该使用方法不具备新颖性。
对于涉及化学产品的医药用途发明,其新颖性审查应考虑以下方面:
(1)新用途与原已知用途是否实质上不同。仅仅表述形式不同而实质上属于相同用途的发明不具备新颖性。
(2)新用途是否被原已知用途的作用机理、药理作用所直接揭示。与原作用机理或者药理作用直接等同的用途不具有新颖性。
(3)新用途是否属于原已知用途的上位概念。已知下位用途可以破坏上位用途的新颖性。
(4)给药对象、给药方式、途径、用量及时间间隔等与使用有关的特征是否对制药过程具有限定作用。仅仅体现在用药过程中的区别特征不能使该用途具有新颖性。
6.化学发明的创造性
6.1化合物的创造性
(1)判断化合物发明的创造性,需要确定要求保护的化合物与最接近现有技术化合物之间的结构差异,并基于进行这种结构改造所获得的用途和/或效果确定发明实际解决的技术问题,在此基础上,判断现有技术整体上是否给出了通过这种结构改造以解决所述技术问题的技术启示。
需要注意的是,如果所属技术领域的技术人员在现有技术的基础上仅仅通过合乎逻辑的分析、推理或者有限的试验就可以进行这种结构改造以解决所述技术问题,得到要求保护的化合物,则认为现有技术存在技术启示。
(2)发明对最接近现有技术化合物进行的结构改造所带来的用途和/或效果可以是获得与已知化合物不同的用途,也可以是对已知化合物某方面效果的改进。在判断化合物创造性时,如果这种用途的改变和/或效果的改进是预料不到的,则反映了要求保护的化合物是非显而易见的,应当认可其创造性。
(3)需要说明的是,判断化合物发明的创造性时,如果要求保护的技术方案的效果是已知的必然趋势所导致的,则该技术方案没有创造性。例如,现有技术的一种杀虫剂A-R,其中R为C1-3的烷基,并且已经指出杀虫效果随着烷基C原子数的增加而提高。如果某一申请的杀虫剂是A-C4H9,杀虫效果比现有技术的杀虫效果有明显提高。由于现有技术中指出了提高杀虫效果的必然趋势,因此该申请不具备创造性。
(4)创造性判断示例
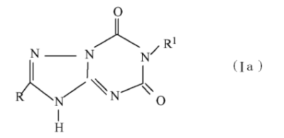
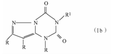
【例1】
现有技术:
(Ia)
申请:
(Ib)
(Ib)与(Ia)的母核结构不同,但二者具有相同的用途。所属技术领域的技术人员通常认为结构接近的化合物具有相同或类似的用途,且结构接近通常是指化合物具有相同的基本核心部分或者基本的环。现有技术中不存在对(Ia)的基本的环进行改造以获得(Ib)且用途不变的技术启示,故(Ib)具有创造性。
【例2】
现有技术:H2N-C6H4-SO2NHR1 (II a)
申请:H2N-C6H4-SO2-NHCONHR1 (II b)
(II b)是在(II a)NHR1结构片段中插入了-CONH-,二者用途完全不同,(II a)磺胺是抗菌素,(II b)磺酰脲是抗糖尿病药。所属技术领域的技术人员没有动机将抗菌素中的R1改造为CONHR1以获得抗糖尿病药,故(II b)具有创造性。
【例3】
现有技术:H2N-C6H4-SO2NHCONHR1(III a)
申请:H3C-C6H4-SO2NHCONHR1(III b)
(III a)氨基-磺酰脲与(III b)甲基-磺酰脲之间仅存在 NH2 与 CH3 的结构差异,两者均为抗糖尿病药,且效果相当,(III b)相对于(III a)为所属技术领域提供了另一种抗糖尿病药。由于 NH2 与 CH3 是经典一价电子等排体,所属技术领域的技术人员为获得相同或者相当的抗糖尿病活性有动机进行这种电子等排体置换,故(III b)无创造性。
【例4】
现有技术:
(IVa)
申请:
(IVb)
(IVb)与(IVa)化合物的区别仅在于嘌呤6-位上以-O-替换了-NH-。尽管-O-与-NH-为所属技术领域公知的经典电子等排体,但(IVb)的癌细胞生长抑制活性比(IVa)提高约40倍,(IVb)相对于(IVa)取得了预料不到的技术效果,由此反映(IVb)是非显而易见的,故(IVb)具有创造性。
【例5】
现有技术:
其中 R1=OH, R2=H 且 R3=CH2CH(CH3)2。
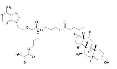
(Vb)
其中 R1 和 R2 选自 H 或 OH,R3 选自 C1-6 烷基,并包括了 R1=OH,R2=H 且R3=CHCH3CH2CH3 的具体化合物(V b1)。且(V b1)的抗乙肝病毒活性明显优于(V a)。
当要求保护(V b)通式化合物时,(V b)与(V a)的区别仅在于磷酰基烷基与氨基酸残基之间的连接原子不同,(V b)为-S-,而(V a)为-O-。(V b)通式化合物相对于(V a)为所属技术领域提供了另一种抗乙肝病毒药。由于-S-与-O-性质接近,为获得同样具有抗乙肝病毒活性的其他药物,所属技术领域的技术人员有动机进行这种替换并获得所述(V b)通式化合物,故(V b)无创造性。
当要求保护(V b1)具体化合物时,(V b1)与(V a)的区别不仅在于上述连接原子不同,而且 R3 位取代基亦不相同,(V b1)的抗乙肝病毒活性明显优于(V a)。现有技术华不存在通过所述结构改造以提升抗乙肝病毒活性的技术启示,故(V b1)具有创造性。
6.2化学产品用途发明的创造性
(1)新产品用途发明的创造性
对于新的化学产品,如果该用途不能从结构或者组成相似的已知产品预见到,可认为这种新产品的用途发明有创造性。
(2)已知产品用途发明的创造性
对于已知产品的用途发明,如果该新用途不能从产品本身的结构、组成、分子量、已知的物理化学性质以及该产品的现有用途显而易见地得出或者预见到,而是利用了产品新发现的性质,并且产生了预料不到的技术效果,可认为这种已知产品的用途发明有创造性。
7.化学发明的实用性
7.1菜肴和烹调方法
不适于在产业上制造和不能重复实施的菜肴,不具备实用性,不能被授予专利权;依赖于厨师的技术、创作等不确定因素导致不能重复实施的烹调方法不适于在产业上应用,也不具备实用性,不能被授予专利权。
7.2医生处方
医生处方,指医生根据具体病人的病情所开的药方。医生处方和医生对处方的调剂以及仅仅根据医生处方配药的过程,均没有工业实用性,不能被授予专利权。
8.化学发明的单一性
8.1马库什权利要求的单一性
8.1.1基本原则
如果一项申请在一个权利要求中限定多个并列的可选择要素,则构成“马库什” 权利要求。马库什权利要求同样应当符合专利法第三十一条第一款及专利法实施细则第三十四条关于单一性的规定。如果一项马库什权利要求中的可选择要素具有相类似的性质,则应当认为这些可选择要素在技术上相互关联,具有相同或相应的特定技术特征,该权利要求可被认为符合单一性的要求。这种可选择要素称为马库什要素。
当马库什要素是化合物时,如果满足下列标准,应当认为它们具有类似的性质,该马库什权利要求具有单一性:
(1)所有可选择化合物具有共同的性能或作用;和
(2)所有可选择化合物具有共同的结构,该共同结构能够构成它与现有技术的区别特征,并对通式化合物的共同性能或作用是必不可少的;或者在不能有共同结构的情况下,所有的可选择要素应属于该发明所属领域中公认的同一化合物类别。
“公认的同一化合物类别” 是指根据本领域的知识可以预期到该类的成员对于要求保护的发明来说其表现是相同的一类化合物。也就是说,每个成员都可以互相替代,而且可以预期所要达到的效果是相同的。
8.1.2举 例
【例1】
权利要求1:通式为
的化合物,式中R1 为吡啶基;R2 -R4 是甲基、甲苯基或苯基,……该化合物是用作进一步提高血液吸氧能力的药物。
说明:通式中吲哚部分构成所有马库什化合物的共有部分,但是由于现有技术中存在以所述吲哚部分为共同结构且具有增强血液吸氧能力的化合物,因此吲哚部分不能够构成权利要求1通式化合物与现有技术的区别技术特征,所以无法根据吲哚部分判断权利要求1的单一性。
权利要求1通式化合物将吲哚上的R1 基团改变为3-吡啶基,其作用是进一步提高血液吸氧能力,因此,可以将3-吡啶基吲哚部分看作是对通式化合物的作用不可缺少的,是区别于现有技术的共同结构, 所以该马库什权利要求具有单一性。
【例2】
权利要求1:通式为
的化合物,式中100≥n≥50,X为
说明:说明书中指出,所述化合物是由已知的聚亚己基对苯二甲酸酯的端基经酯化制得的。当酯化成(Ⅰ) 时,具有抗热降解性能;但当酯化成(II) 时,因为有“CH2 =CH-” 存在而不具有抗热降解性能。因此,它们没有共同的性能,所以该马库什权利要求不具有单一性。
【例3】
权利要求1:一种杀线虫组合物,含有作为活性成分的以下通式化合物:
式中 m、n=1、2 或 3;X=O、S;R3=H、C1-C8 烷基;R1 和 R2=H、卤素、C1-C3 烷基;Y=H、卤素、胺基;……
说明:该通式的所有化合物,虽具有共同的杀线虫作用,但是,它们分别为五元、六元或七元环化合物,并且是不同类别的杂环化合物,因此它们没有共同的结构;同时根据本领域的现有技术不能够预期到这些化合物对于发明来说具有相同的表现,可以相互代替并且得到相同的效果。所以该马库什权利要求不具有单一性。
【例4】
权利要求1:一种除草组合物,包括有效量的A和B两种化合物的混合物和稀释剂或惰性载体,A是2,4-二氯苯氧基醋酸;B选自如下化合物:硫酸铜,氯化钠,氨基磺酸铵,三氯醋酸钠,二氯丙酸,3-氨基-2,5-二氯苯甲酸,联苯甲酰胺,碘苯腈,2- (1-甲基-正丙基) 4,6-二硝基苯酚,二硝基苯胺和三嗪。
说明:在此情况下,由于马库什要素B没有共同的结构而且不能根据本领域内现有技术预期这些马库什要素 B 的各类化合物在作除草成分时可以相互替代并且得到相同结果,因而在该发明的相关技术中也不能被认为是属于同一类化合物,而是属于如下不同类的化合物:(a)无机盐:硫酸铜,氯化钠,氨基磺酸铵;(b)有机盐或酸:三氯醋酸钠,二氯丙酸,3 — 氨基一2, 5 —二氯苯甲酸;(c)酰胺:联苯甲酰胺;(d)腈:碘苯腈;(e)苯酚:2—(1 一甲基一正丙基)4, 6 —二硝基苯酚;(f)胺:二硝基苯胺;(g)杂环:三嗪,所以权利要求1 所要求保护的发明不具有单一性。
【例5】
权利要求 1:烃类气相氧化催化剂,含有 X 或 X+A。
说明:说明书华,X 使 RCH3 氧化成 RCH2OH,X+A 使 RCH3 氧化成 RCOOH。这两种催化剂具有共同的作用,都是用于 RCH3 的氧化,虽然 X+A 使 RCH3 氧化得更完全,但作用是相同的,并且这两种催化剂都具有区别于现有技术并对该共同作用是必不可少的共同成分 X,所以权利要求 1 具有单一性。
8.2中间体与最终产物的单一性
涉及中间体的申请的单一性同样需要符合专利法第三十一条第一款和专利法实施细则第三十四条的规定。
8.2.1基本原则
(1)中间体与最终产物之间同时满足以下两个条件,则有单一性:
(i)中间体与最终产物有相同的基本结构单元,或者它们的化学结构在技术上密切相关,中间体的基本结构单元进入最终产物;
(ii)最终产物是直接由中间体制备的,或者直接从中间体分离出来的。
(2)由不同中间体制备同一最终产物的几种方法,如果这些不同的中间体具有相同的基本结构单元,允许在同一件申请中要求保护。
(3)用于同一最终产物的不同结构部分的不同中间体,不能在同一件申请中要求保护。
8.2.2举 例
【例1】
权利要求1:
权利要求2:
说明:以上中间体与最终产物的化学结构在技术上密切相关,中间体的基本结构单元进入最终产物,并可从该中间体直接制备最终产物。因此,权利要求1和2有单一性。
【例2】
权利要求1:一种无定型聚异戊二烯(中间体)
权利要求2:一种结晶聚异戊二烯(最终产物)
说明:在此例中,无定型聚异戊二烯经过拉伸后直接得到结晶型的聚异戊二烯,它们的化学结构相同,该两项权利要求有单一性。
9.生物技术领域发明专利申请的审查
在本节中,术语“生物材料” 是指任何带有遗传信息并能够自我复制或者能够在生物系统中被复制的材料,如基因、质粒、微生物、动物和植物等。
术语“动物”、“植物” 的定义适用本部分第一章第4.4节的规定。其中所述的动物和植物可以是动物和植物的各级分类单位,如界、门、纲、目、科、属和种等。
9.1对要求保护的客体的审查
9.1.1依据专利法第五条对要求保护的客体的审查
在本部分第一章第3.1.2节中例举了一些属于专利法第五条第一款规定的不能被授予专利权的生物技术发明类型。此外,下列情况也属于专利法第五条规定的不能被授予专利权的发明。
9.1.1.1处于各形成和发育阶段的人体
处于各个形成和发育阶段的人体,包括人的生殖细胞、受精卵、胚胎及个体,均属于专利法第五条第一款规定的不能被授予专利权的发明。人类胚胎干细胞不属于处于各个形成和发育阶段的人体。
9.1.1.2违法获取或利用遗传资源完成的发明创造
违反法律、行政法规的规定获取或者利用遗传资源,并依赖该遗传资源完成的发明创造,属于专利法第五条第二款规定的不能被授予专利权的发明创造,其审查适用本部分第一章第3.2节的规定。
9.1.2根据专利法第二十五条对要求保护的客体的审查
9.1.2.1微生物
微生物包括:细菌、放线菌、真菌、病毒、原生动物、藻类等。由于微生物既不属于动物,也不属于植物的范畴,因而微生物不属于专利法第二十五条第一款第(四) 项所列的情况。
但是未经人类的任何技术处理而存在于自然界的微生物由于属于科学发现,所以不能被授予专利权。只有当微生物经过分离成为纯培养物,并且具有特定的工业用途时,微生物本身才属于可给予专利保护的客体。
9.1.2.2基因或DNA片段
无论是基因或是DNA片段,其实质是一种化学物质。这里所述的基因或DNA片段包括从微生物、植物、动物或人体分离获得的,以及通过其他手段制备得到的。
正如本章第2.1节所述,人们从自然界找到以天然形态存在的基因或DNA片段,仅仅是一种发现,属于专利法第二十五条第一款第(一) 项规定的“科学发现”,不能被授予专利权。
但是,如果是首次从自然界分离或提取出来的基因或DNA片段,其碱基序列是现有技术中不曾记载的,并能被确切地表征,且在产业上有利用价值,则该基因或DNA片段本身及其得到方法均属于可给予专利保护的客体。
9.1.2.3动物和植物个体及其组成部分
动物的胚胎干细胞、动物个体及其各个形成和发育阶段例如生殖细胞、受精卵、胚胎等,属于本部分第一章第4.4节所述的“动物品种” 的范畴,根据专利法第二十五条第一款第(四) 项规定,不能被授予专利权。
动物的体细胞以及动物组织和器官(除胚胎以外) 不符合本部分第一章第4.4节所述的“动物” 的定义,因此不属于专利法第二十五条第一款第(四) 项规定的范畴。
可以借助光合作用,以水、二氧化碳和无机盐等无机物合成碳水化合物、蛋白质来维系生存的植物的单个植株及其繁殖材料(如种子等),属于本部分第一章第4.4节所述的“植物品种” 的范畴,根据专利法第二十五条第一款第(四) 项规定,不能被授予专利权。
植物的细胞、组织和器官如果不具有上述特性,则其不能被认为是“植物品种”,因此不属于专利法第二十五条第一款第(四) 项规定的范畴。
9.1.2.4转基因动物和植物
转基因动物或植物是通过基因工程的重组DNA技术等生物学方法得到的动物或植物。其本身仍然属于本部分第一章第4.4节定义的“动物品种” 或“植物品种” 的范畴,根据专利法第二十五条第一款第(四) 项规定,不能被授予专利权。
9.2说明书的充分公开
9.2.1生物材料的保藏
(1)专利法第二十六条第三款规定,说明书应当对发明或者实用新型作出清楚、完整的说明,以所属技术领域的技术人员能够实现为准。
通常情况下,说明书应当通过文字记载充分公开申请专利保护的发明。在生物技术这一特定的领域中,有时由于文字记载很难描述生物材料的具体特征,即使有了这些描述也得不到生物材料本身,所属技术领域的技术人员仍然不能实施发明。在这种情况下,为了满足专利法第二十六条第三款的要求,应按规定将所涉及的生物材料到国家知识产权局认可的保藏单位进行保藏。
如果申请涉及的完成发明必须使用的生物材料是公众不能得到的,而申请人却没有按专利法实施细则第二十四条的规定进行保藏,或者虽然按规定进行了保藏,但是未在申请日或者最迟自申请日起四个月内提交保藏单位出具的保藏证明和存活证明的,审查员应当以申请不符合专利法第二十六条第三款的规定驳回该申请。
对于涉及公众不能得到的生物材料的专利申请,应当在请求书和说明书中均写明生物材料的分类命名、拉丁文学名、保藏该生物材料样品的单位名称、地址、保藏日期和保藏编号。在说明书中第一次提及该生物材料时,除描述该生物材料的分类命名、拉丁文学名以外,还应当写明其保藏日期、保藏该生物材料样品的保藏单位全称及简称和保藏编号;此外,还应当将该生物材料的保藏日期、保藏单位全称及简称和保藏编号作为说明书的一个部分集中写在相当于附图说明的位置。如果申请人按时提交了符合专利法实施细则第二十四条规定的请求书、保藏证明和存活证明,但未在说明书中写明与保藏有关的信息,允许申请人在实质审查阶段根据请求书的内容将相关信息补充到说明书中。
(2)专利法实施细则第二十四条中所说的“公众不能得到的生物材料” 包括:个人或单位拥有的、由非专利程序的保藏机构保藏并对公众不公开发放的生物材料;或者虽然在说明书中描述了制备该生物材料的方法,但是本领域技术人员不能重复该方法而获得所述的生物材料,例如通过不能再现的筛选、突变等手段新创制的微生物菌种。这样的生物材料均要求按照规定进行保藏。
以下情况被认为是公众可以得到、而不要求进行保藏:
(i)公众能从国内外商业渠道买到的生物材料,应当在说明书中注明购买的渠道,必要时,应提供申请日(有优先权的,指优先权日) 前公众可以购买得到该生物材料的证据;
(ii)在各国专利局或国际专利组织承认的用于专利程序的保藏机构保藏的,并且在向我国提交的专利申请的申请日(有优先权的,指优先权日) 前已在专利公报中公布或已授权的生物材料;
(iii)专利申请中必须使用的生物材料在申请日(有优先权的,指优先权日) 前已在非专利文献中公开的,应当在说明书中注明了文献的出处,说明了公众获得该生物材料的途径,并由专利申请人提供了保证从申请日起二十年内向公众发放生物材料的证明。
(3)在国家知识产权局认可的机构内保藏的生物材料,应当由该单位确认生物材料的生存状况,如果确认生物材料已经死亡、污染、失活或变异的,申请人必须将与原来保藏的样品相同的生物材料和原始样品同时保藏,并将此事呈报专利局,即可认为后来的保藏是原来保藏的继续。
(4)国家知识产权局认可的保藏单位是指布达佩斯条约承认的生物材料样品国际保藏单位,其中包括位于我国北京的中国微生物菌种保藏管理委员会普通微生物中心(CGMCC)、位于武汉的中国典型培养物保藏中心(CCTCC)和位于广州的广东省微生物菌种保藏中心(GDMCC)。
9.2.2涉及遗传工程的发明
术语“遗传工程” 指基因重组、细胞融合等人工操作基因的技术。涉及遗传工程的发明包括基因(或DNA片段)、载体、重组载体、转化体、多肽或蛋白质、融合细胞、单克隆抗体等的发明。
9.2.2.1产品发明
对于涉及基因、载体、重组载体、转化体、多肽或蛋白质、融合细胞、单克隆抗体本身的发明,说明书应当包括下列内容:产品的确认,产品的制备,产品的用途和/或效果。
(1)产品的确认
对于涉及基因、载体、重组载体、转化体、多肽或蛋白质、融合细胞、单克隆抗体等的发明,说明书应明确记载其结构,如基因的碱基序列,多肽或蛋白质的氨基酸序列等。在无法清楚描述其结构的情况下,应当描述其相应的物理-化学参数,生物学特性和/或制备方法等。
(2)产品的制备
说明书中应描述制造该产品的方式,除非本领域的技术人员根据原始说明书、权利要求书和附图的记载和现有技术无需该描述就可制备该产品。
对于涉及基因、载体、重组载体、转化体、多肽或蛋白质、融合细胞、单克隆抗体等的发明,如果说明书中描述的制备所述产物的方法,是本领域技术人员不能重复实施的方法,则获得的导入了基因、载体、重组载体的转化体(包括产生多肽或蛋白质的转化体) 或融合细胞等应当按照专利法实施细则第二十四条的规定进行生物材料的保藏,具体保藏事项适用本章第9.2.1节的规定。
对于制备基因、载体、重组载体、转化体、多肽或蛋白质、融合细胞、单克隆抗体等的方法,如果其实施过程中使用了在申请日(有优先权的,指优先权日) 前公众不能获得的生物材料,则应当按照专利法实施细则第二十四条的规定将所述的生物材料进行保藏,具体保藏事项适用本章第9.2.1节的规定。
具体可采用下列方式进行描述:
(i)基因、载体或者重组载体
对于产生基因、载体或重组载体的方法,应当描述其各自的起源或来源,获得所述基因、载体或重组载体的方法,所用的酶、处理条件、收集和纯化它的步骤、鉴定方法等。
(ii)转化体
对于制备转化体的方法,应当描述导入的基因或重组载体、宿主(微生物、植物或动物)、将基因或重组载体导入宿主的方法、选择性收集转化体的方法或鉴定方法等。
(iii)多肽或者蛋白质
对于以基因重组技术制备多肽或蛋白质的方法,应当描述获得编码多肽或蛋白质的基因的方法、获得表达载体的方法、获得宿主的方法、将基因导入宿主的方法、选择性收集转化体的方法、从导入基因的转化体收集和纯化多肽或蛋白质的步骤或鉴定所获得的多肽或蛋白质的方法等。
(iv)融合细胞
对于制备融合细胞(例如杂交瘤等) 的方法,应当描述亲本细胞的来源、对亲本细胞的预处理、融合条件、选择性收集融合细胞的方法或其鉴定方法等。
(v)单克隆抗体
对于制备单克隆抗体的方法,应当描述获得或制备免疫原的方法、免疫方法、选择性获得产生抗体的细胞的方法或鉴定单克隆抗体的方法等。
当发明涉及满足特定条件(例如用特定的结合常数来说明其与抗原A的亲和性) 的单克隆抗体时,即使按照上文“(iv)融合细胞” 部分所述记载了制备产生满足所述特定条件的单克隆抗体的杂交瘤的方法,但是由于实施该方法获得某一特定结果是随机的,不能重复再现,因此所述杂交瘤应当按照专利法实施细则第二十四条的规定进行保藏,但申请人能够提供足够的证据证明本领域技术人员可根据说明书的记载重复制备该杂交瘤的除外。
(3)产品的用途和/或效果
对于涉及基因、载体、重组载体、转化体、多肽或蛋白质、融合细胞、单克隆抗体等的发明,应在说明书中描述其用途和/或效果, 明确记载获得所述效果所需的技术手段、条件等。
例如,应在说明书中提供证据证明基因具有特定的功能,对于结构基因,应该证明所述基因编码的多肽或蛋白质具有特定的功能。
9.2.2.2制备产品的方法发明
对于制备基因、载体、重组载体、转化体、多肽或蛋白质、融合细胞和单克隆抗体等的方法的发明,说明书应当清楚、完整地描述所述方法以使本领域技术人员能使用该方法制备所述的产品,而且当所述产品为新物质时,应记载所述产品的至少一种用途。具体要求适用本章第9.2.2.1节的规定。
9.2.3核苷酸或氨基酸序列表
(1)当发明涉及由10个或更多核苷酸组成的核苷酸序列,或由4个或更多L-氨基酸组成的蛋白质或肽的氨基酸序列时,应当递交根据国家知识产权局发布的《核苷酸和/或氨基酸序列表和序列表电子文件标准》撰写的序列表。
(2)序列表应作为单独部分来描述并置于说明书的最后。此外申请人还应当提交记载有核苷酸或氨基酸序列表的计算机可读形式的副本。有关序列表的提交参见第一部分第一章4.2节。
如果申请人提交的计算机可读形式的核苷酸或氨基酸序列表与说明书和权利要求书中书面记载的序列表不一致,则以书面提交的序列表为准。
9.2.4涉及微生物的发明
(1)经保藏的微生物应以分类鉴定的微生物株名、种名、属名进行表述。如未鉴定到种名的应当给出属名。在说明书中,第一次提及该发明所使用的微生物时,应用括号注明其拉丁文学名。如果该微生物已按专利法实施细则第二十四条的规定在国家知识产权局认可的保藏单位保藏,应当在说明书中按本章第9.2.1节的规定写明其保藏日期、保藏单位全称及简称和保藏编号。在说明书的其他位置可以用该保藏单位的简称以及该微生物的保藏编号代表所保藏的微生物,例如以“金黄色葡萄球菌CCTCC8605” 进行描述。
(2)当涉及的微生物属于新种时,要详细记载其分类学性质,要写明鉴定为新种的理由,并给出作为判断基准的有关文献。
9.3生物技术领域发明的权利要求书
权利要求书应当符合专利法第二十六条第四款、专利法实施细则第二十条第二款的规定。
9.3.1涉及遗传工程的发明
对于涉及基因、载体、重组载体、转化体、多肽或蛋白质、融合细胞和单克隆抗体等的发明,其权利要求可按下面所述进行描述。
9.3.1.1基 因
(1)直接限定其碱基序列。
(2)对于结构基因,可限定由所述基因编码的多肽或蛋白质的氨基酸序列。
(3)当该基因的碱基序列或其编码的多肽或蛋白质的氨基酸序列记载在序列表或说明书附图中时,可以采用直接参见序列表或附图的方式进行描述。
【例如】
一种DNA分子,其碱基序列如SEQ ID NO:1(或附图1) 所示。
(4)对于具有某一特定功能,例如其编码的蛋白质具有酶A活性的基因,可采用术语“取代、缺失或添加” 与功能相结合的方式进行限定。
【例如】
编码如下蛋白质(a)或(b)的基因:
(a)由 Met-Tyr-…-Cys-Leu 所示的氨基酸序列组成的蛋白质,
(b)在(a)限定的氨基酸序列华经过取代、缺失或添加一个或几个氨基酸且具有酶 A 活性的由(a)衍生的蛋白质。
允许用上述方式表示的条件是:
I.说明书例如实施例中例举了(b) 所述的衍生的蛋白质;
II.说明书中记载了制备(b) 所述衍生的蛋白质以及证明其功能的技术手段(否则认为说明书公开不充分)。
(5)对于具有某一特定功能,例如其编码的蛋白质具有酶A活性的基因,可采用在严格条件下“杂交”,并与功能相结合的方式进行限定。
【例如】
如下(a) 或(b) 的基因:
(a)其核苷酸序列为ATGTATCGG…TGCCT所示的DNA 分子,
(b)在严格条件下与(a)限定的DNA序列杂交且编码具有酶A活性的蛋白质的DNA分子。
允许用上述方式表示的条件是:
I.说明书中详细描述了“严格条件”;
II.说明书如实施例中例举了(b) 所述DNA分子。
(6)当无法使用前述五种方式进行描述时,通过限定所述基因的功能、理化特性、起源或来源、产生所述基因的方法等描述基因才可能是允许的。
9.3.1.2载 体
(1)限定其DNA的碱基序列。
(2)利用DNA的裂解图谱、分子量、碱基对数量、载体来源、生产该载体的方法、该载体的功能或特征等进行描述。
9.3.1.3重组载体
重组载体可通过限定至少一个基因和载体来描述。
9.3.1.4转化体
转化体可通过限定其宿主和导入的基因(或重组载体) 来描述。
9.3.1.5多肽或蛋白质
(1)限定氨基酸序列或编码所述氨基酸序列的结构基因的碱基序列。
(2)当其氨基酸序列记载在序列表或说明书附图中时,可以采用直接参见序列表或附图的方式进行描述。
【例如】
一种蛋白质,其氨基酸序列如SEQIDNO:2(或附图2)所示。
(3)对于具有某一特定功能,例如具有酶A活性的蛋白质,可采用术语“取代、缺失或添加” 与功能相结合的方式进行限定,具体方式如下:
如下(a)或(b)的蛋白质:
(a)由 Met-Tyr-…-Cys-Leu 所示的氨基酸序列组成的蛋白质,
(b)在(a)华的氨基酸序列经过取代、缺失或添加一个或几个氨基酸且具有酶 A 活性的由(a)衍生的蛋白质。
允许用上述方式表示的条件是:
I.说明书例如实施例中例举了(b) 所述的衍生的蛋白质;
II.说明书中记载了制备(b) 所述衍生的蛋白质以及证明其功能的技术手段(否则认为说明书公开不充分)。
(4)当无法使用前述三种方式进行描述时,采用所述多肽或蛋白质的功能、理化特性、起源或来源、产生所述多肽或蛋白质的方法等进行描述才可能是允许的。
9.3.1.6融合细胞
融合细胞可通过限定亲本细胞,融合细胞的功能和特征,或产生该融合细胞的方法等进行描述。
9.3.1.7单克隆抗体
针对单克隆抗体的权利要求可以用结构特征限定,也可以用产生它的杂交瘤来限定。
【例如】
(1)抗原A的单克隆抗体,其包含氨基酸序列如SEQ ID NO:1-3所示的VHCDR1、VHCDR2和VHCDR3,和氨基酸序列如SEQ ID NO:4-6所示的VLCDR1、VLCDR2和VLCDR3。
(2)抗原A的单克隆抗体,由保藏号为CGMCC NO:xxx的杂交瘤产生。
9.3.2涉及微生物的发明
(1)权利要求中所涉及的微生物应按微生物学分类命名法进行表述,有确定的中文名称的,应当用中文名称表述,并在第一次出现时用括号注明该微生物的拉丁文学名。如果微生物已在国家知识产权局认可的保藏单位保藏,还应当以该微生物的保藏单位的简称和保藏编号表述该微生物。
(2)如果说明书中没有提及某微生物的具体突变株,或者虽提及具体突变株,但是没有提供相应的具体实施方式,而权利要求中却要求保护这样的突变株,则不允许。
对于要求保护某一微生物的“衍生物” 的权利要求,由于“衍生物” 含义不仅是指由该微生物产生的新的微生物菌株,而且可以延伸到由该微生物产生的代谢产物等,因此其含义是不确定的,这样的权利要求的保护范围是不清楚的。
9.4新颖性、创造性和实用性的审查
9.4.1涉及遗传工程的发明的新颖性
(1)基因
如果某蛋白质本身具有新颖性,则编码该蛋白质的基因的发明也具有新颖性。
(2)重组蛋白
如果以单一物质形式被分离和纯化的蛋白质是已知的,那么由不同的制备方法定义的、具有同样氨基酸序列的重组蛋白的发明不具有新颖性。
(3)单克隆抗体
如果抗原A是新的,那么抗原A的单克隆抗体也是新的。但是,如果某已知抗原A′的单克隆抗体是已知的,而发明涉及的抗原A具有与已知抗原A′相同的表位,即推定已知抗原A′的单克隆抗体就能与发明涉及的抗原A结合。在这种情况下,抗原A的单克隆抗体的发明不具有新颖性,除非申请人能够根据申请文件或现有技术证明,申请的权利要求所限定的单克隆抗体与对比文件公开的单克隆抗体的确不同。
9.4.2创造性
9.4.2.1涉及遗传工程的发明
生物技术领域发明创造性的判断,同样要判断发明是否具备突出的实质性特点和显著的进步。判断过程中,需要根据不同保护主题的具体限定内容,确定发明与最接近的现有技术的区别特征,然后基于该区别特征在发明中所能达到的技术效果确定发明实际解决的技术问题,再判断现有技术整体上是否给出了技术启示,基于此得出发明相对于现有技术是否显而易见。
生物技术领域的发明创造涉及生物大分子、细胞、微生物个体等不同水平的保护主题。在表征这些保护主题的方式中,除结构与组成等常见方式以外,还包括生物材料保藏号等特殊方式。创造性判断需要考虑发明与现有技术的结构差异、亲缘关系远近和技术效果的可预期性等。
以下,示出本领域不同保护主题创造性判断中的一些具体情形。
(1)基因
如果某结构基因编码的蛋白质与已知的蛋白质相比,具有不同的氨基酸序列,并具有不同类型的或改善的性能,而且现有技术没有给出该序列差异带来上述性能变化的技术启示,则编码该蛋白质的基因发明具有创造性。
如果某蛋白质的氨基酸序列是已知的,则编码该蛋白质的基因的发明不具有创造性。如果某蛋白质已知而其氨基酸序列是未知的,那么只要本领域技术人员在该申请提交时可以容易地确定其氨基酸序列,编码该蛋白质的基因发明就不具有创造性。但是,上述两种情形下,如果该基因具有特定的碱基序列,而且与其他编码所述蛋白质的、具有不同碱基序列的基因相比,具有本领域技术人员预料不到的效果,则该基因的发明具有创造性。
如果一项发明要求保护的结构基因是一个已知结构基因的可自然获得的突变的结构基因,且该要求保护的结构基因与该已知结构基因源于同一物种,也具有相同的性质和功能,则该发明不具备创造性。
(2)多肽或蛋白质
如果发明要求保护的多肽或蛋白质与已知的多肽或蛋白质在氨基酸序列上存在区别,并具有不同类型的或改善的性能,而且现有技术没有给出该序列差异带来上述性能变化的技术启示,则该多肽或蛋白质的发明具有创造性。
(3)重组载体
如果发明针对已知载体和/或插入基因的结构改造实现了重组载体性能的改善,而且现有技术没有给出利用上述结构改造以改善性能的技术启示,则该重组载体的发明具有创造性。
如果载体与插入的基因都是已知的,通常由它们的结合所得到的重组载体的发明不具有创造性。但是,如果由它们的特定结合形成的重组载体的发明与现有技术相比具有预料不到的技术效果,则该重组载体的发明具有创造性。
(4)转化体
如果发明针对已知宿主和/或插入基因的结构改造实现了转化体性能的改善,而且现有技术没有给出利用上述结构改造以改善性能的技术启示,则该转化体的发明具有创造性。
如果宿主与插入的基因都是已知的,通常由它们的结合所得到的转化体的发明不具有创造性。但是,如果由它们的特定结合形成的转化体的发明与现有技术相比具有预料不到的技术效果,则该转化体的发明具有创造性。
(5)融合细胞
如果亲代细胞是已知的,通常由这些亲代细胞融合所得到的融合细胞的发明不具有创造性。但是,如果该融合细胞与现有技术相比具有预料不到的技术效果,则该融合细胞的发明具有创造性。
(6)单克隆抗体
如果抗原是已知的,采用结构特征表征的该抗原的单克隆抗体与已知单克隆抗体在决定功能和用途的关键序列上明显不同,且现有技术没有给出获得上述序列的单克隆抗体的技术启示,且该单克隆抗体能够产生有益的技术效果,则该单克隆抗体的发明具有创造性。
如果抗原是已知的,并且很清楚该抗原具有免疫原性(例如由该抗原的多克隆抗体是已知的或者该抗原是大分子多肽就能得知该抗原明显具有免疫原性),那么仅用该抗原限定的单克隆抗体的发明不具有创造性。但是,如果该发明进一步由分泌该抗原的单克隆抗体的杂交瘤限定,并因此使其产生了预料不到的效果,则该单克隆抗体的发明具有创造性。
9.4.2.2涉及微生物的发明
(1)微生物本身
与已知种的分类学特征明显不同的微生物(即新的种) 具有创造性。如果发明涉及的微生物的分类学特征与已知种的分类学特征没有实质区别,但是该微生物产生了本领域技术人员预料不到的技术效果,那么该微生物的发明具有创造性。
(2)有关微生物应用的发明
对于微生物应用的发明,如果发明中使用的微生物是已知的种,并且该微生物与已知的、用于同样用途的另一微生物属于同一个属,那么该微生物应用的发明不具有创造性。但是,如果与应用已知的、属于同一个属中的另一微生物相比,该微生物的应用产生了预料不到的技术效果,那么该微生物应用的发明具有创造性。如果发明中所用的微生物与已知种的微生物具有明显不同的分类学特征(即发明所用的微生物是新的种),那么即使用途相同,该微生物应用的发明也具有创造性。
9.4.3实用性
在生物技术领域中,某些发明由于不能重现而不具有工业实用性,因此不能被授予专利权。
9.4.3.1由自然界筛选特定微生物的方法
这种类型的方法由于受到客观条件的限制,且具有很大随机性,因此在大多数情况下都是不能重现的。例如从某省某县某地的土壤中分离筛选出一种特定的微生物,由于其地理位置的不确定和自然、人为环境的不断变化,再加上同一块土壤中特定的微生物存在的偶然性,致使不可能在专利有效期二十年内能重现地筛选出同种同属、生化遗传性能完全相同的微生物体。因此,由自然界筛选特定微生物的方法,一般不具有工业实用性,除非申请人能够给出充足的证据证明这种方法可以重复实施,否则这种方法不能被授予专利权。
9.4.3.2通过物理、化学方法进行人工诱变生产新微生物的方法
这种类型的方法主要依赖于微生物在诱变条件下所产生的随机突变,这种突变实际上是DNA复制过程中的一个或者几个碱基的变化,然后从中筛选出具有某种特征的菌株。由于碱基变化是随机的,因此即使清楚记载了诱变条件,也很难通过重复诱变条件而得到完全相同的结果。这种方法在绝大多数情况下不符合专利法第二十二条第四款的规定,除非申请人能够给出足够的证据证明在一定的诱变条件下经过诱变必然得到具有所需特性的微生物,否则这种类型的方法不能被授予专利权。
9.5遗传资源来源的披露
9.5.1术语的解释
专利法所称遗传资源的直接来源,是指获取遗传资源的直接渠道。申请人说明遗传资源的直接来源,应当提供获取该遗传资源的时间、地点、方式、提供者等信息。
专利法所称遗传资源的原始来源,是指遗传资源所属的生物体在原生环境中的采集地。遗传资源所属的生物体为自然生长的生物体的,原生环境是指该生物体的自然生长环境;遗传资源所属的生物体为培植或者驯化的生物体的,原生环境是指该生物体形成其特定性状或者特征的环境。申请人说明遗传资源的原始来源,应当提供采集该遗传资源所属的生物体的时间、地点、采集者等信息。
9.5.2对披露内容的具体要求
就依赖遗传资源完成的发明创造申请专利,申请人应当在请求书中予以说明,并且在专利局制定的遗传资源来源披露登记表(以下简称为登记表) 中填写有关遗传资源直接来源和原始来源的具体信息。
申请人对直接来源和原始来源的披露应符合登记表的填写要求,清楚、完整地披露相关信息。
如果遗传资源的直接来源为从某个机构获得,例如保藏机构、种子库(种质库)、基因文库等,该机构知晓并能够提供原始来源的,申请人应当提供该遗传资源的原始来源信息。申请人声称无法说明原始来源的,应当陈述理由,必要时提供有关证据。例如指明“该种子库未记载该遗传资源的原始来源”、“该种子库不能提供该遗传资源的原始来源”,并提供该种子库出具的相关书面证明。
9.5.3遗传资源来源披露的审查
在依据专利法第二十六条第五款和专利法实施细则第二十六条第二款进行审查时,审查员应当首先仔细阅读说明书和权利要求书,准确理解发明,在此基础上确定发明创造的完成是否依赖于遗传资源以及所依赖的是何种遗传资源。
对于依赖于遗传资源完成的发明创造,审查员应当审查申请人是否提交了登记表。
如果申请人未提交登记表,审查员应当在审查意见通知书中告知申请人补交登记表,通知书中还应当具体指明哪些遗传资源需要披露来源并说明理由。
如果申请人提交的登记表中仅披露了部分遗传资源的来源,审查员应当在审查意见通知书中告知申请人补全登记表,通知书中还应当具体指明需要补充披露来源的遗传资源并说明理由。
如果申请人提交了登记表,审查员应当审查该登记表中是否说明了该遗传资源的直接来源和原始来源;对于未说明原始来源的,是否说明了理由。如果申请人填写的登记表不符合规定,审查员应当在审查意见通知书中指出登记表中存在的缺陷。经申请人陈述意见或者进行修改后仍不符合专利法第二十六条第五款规定的,审查员应当驳回其专利申请。
需要注意的是,登记表中的内容不属于原说明书和权利要求书记载的内容,因此不能作为判断说明书是否充分公开的依据,也不得作为修改说明书和权利要求书的基础。











